Employee Emergency Loan Policy: Quick & Convenient Solutions for Employee Emergencies
Review Rating Score
Are you in need of a comprehensive policy document to govern employee emergency loans at your organization? Look no further! At BizzLibrary.com, we understand the importance of having clear guidelines and policies in place for employee emergency loans. Our Employee Emergency Loan Policies template is designed to provide you with a ready-to-use document that ensures fairness and transparency while addressing the financial needs of your employees.
What are Employee Emergency Loans?
Employee emergency loans are a form of financial assistance provided by employers to their employees during times of unforeseen financial hardship. These loans are intended to help employees meet urgent financial needs, such as medical expenses, unexpected home repairs, or other emergency situations. By offering these loans, companies can support their employees in times of need and contribute to their financial well-being.
Why Do You Need Employee Emergency Loan Policies?
Having clear policies in place for employee emergency loans is essential for several reasons:
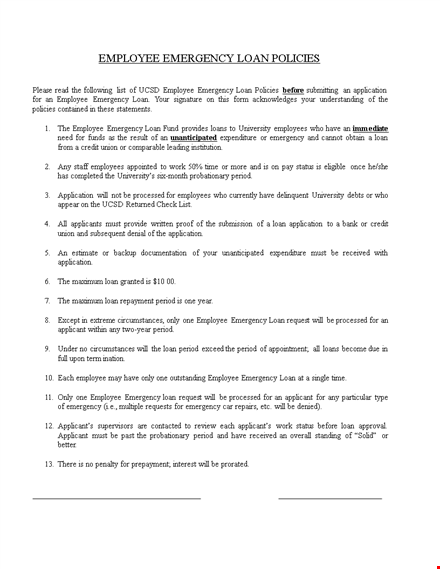
- Fairness and Transparency: The policies outline the eligibility criteria, application process, and loan approval guidelines, ensuring consistency and fairness in the loan distribution process. This helps prevent favoritism and bias.
- Financial Responsibility: The policies establish the terms and conditions of the loan, including repayment terms, interest rates (if applicable), and any administrative fees. This ensures that both the employee and employer have a clear understanding of their financial obligations.
- Employee Support and Well-being: By offering emergency loans, employers can demonstrate their commitment to supporting their employees in times of financial need. This can significantly contribute to employee morale, satisfaction, and overall well-being.
- Legal Compliance: Employee emergency loans are subject to legal regulations and requirements in many jurisdictions. Having well-defined policies helps ensure compliance with applicable laws and regulations, minimizing the risk of legal issues.
- Focus on Productivity: During times of financial stress, employees may be distracted and unable to perform at their best. By providing emergency loans, employers can help alleviate financial burdens and enable employees to focus on their work more effectively.
Get Your Employee Emergency Loan Policies Template
Don't wait until an emergency arises to establish guidelines for employee emergency loans. Download our professionally drafted Employee Emergency Loan Policies template in DOCX format today and ensure fair and consistent practices within your organization. It's a crucial tool for any employer looking to support their employees while maintaining financial stability.
Visit BizzLibrary.com now to access a wide range of business document templates, including loan agreements, employee policies, and more. Take control of your organization's emergency loan process and empower your employees during times of financial hardship.
Is the template content above helpful?
Thanks for letting us know!
Reviews
Jackqueline Larsen(11/7/2023) - AUS
Perfect!!
Last modified
Our Latest Blog
- A Guide to Make a Business Plan That Really Works
- The Importance of Vehicle Inspections in Rent-to-Own Car Agreements
- Setting Up Your E-mail Marketing for Your Business: The Blueprint to Skyrocketing Engagement and Sales
- The Power of Document Templates: Enhancing Efficiency and Streamlining Workflows
Template Tags
Need help?
We are standing by to assist you. Please keep in mind we are not licensed attorneys and cannot address any legal related questions.
-
Chat
Online - Email
Send a message
You May Also Like
Salary Certificate Request
Free Home Loan Amortization Schedule Template | Manage Your Mortgage Payments, Interest, Principal
Loan Offer Acceptance Agreement Template for Applicant
Sample Promissory Note Template with Interest for Principal Maker
Example of Loan Settlement Statement - Insurance and Title included
Personal Loan Agreement Form for Promissory Note | Easy Agreement | Credit Terms Under Control
Loan Rejection Letter: Formal Assistance for Applicant from Federal Lender
Loan Amortization Template: Easily Track Scheduled Payments and Payment Amounts
Personal Installment Loan Agreement Template | Secure Payments | Check Amounts
Fine Arts Loan Agreement | University Lender | Virginia
Loan Amortization Template - Calculate Payment, Total Payments
HRC Long Term Loan - Center for Borrower Ransom
Ummz Loan Policy
Medical Loan Application Letter Template
Loan Request Application Letter
Home Loan Amortization Schedule Template